求助三菱用st计算非球面坐标 -凯发网址

lsw669007
级别: 略有小成
精华主题: 0
发帖数量: 134 个
工控威望: 335 点
下载积分: 663 分
在线时间: 579(小时)
注册时间: 2006-08-19
最后登录: 2025-09-18
/
楼主  发表于: 2024-07-07 13:17
|
图片:
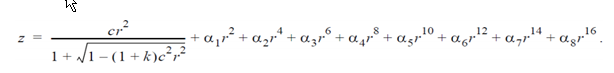
求助:三菱plc用st写出上面非球面计算公式,r是变量,每计算一次,r等值递增一次,计算100次,将z值写入d0-d200;请坛内的大神指导谢谢!
huyou
级别: 略有小成
精华主题: 0
发帖数量: 150 个
工控威望: 322 点
下载积分: 946 分
在线时间: 162(小时)
注册时间: 2009-08-04
最后登录: 2025-04-29
/
1楼  发表于: 2024-08-21 14:31
|
你是不会哪一步计算?
幂运算、开根号,还是循环结构?
本帖最近评分记录:
  • 下载积分: 5(lsw669007) 真诚感谢!
  • [fly]忽悠,接着忽悠……[/fly]
    zhujingyu69
    级别: 家园常客
    精华主题: 0
    发帖数量: 866 个
    工控威望: 864 点
    下载积分: 56459 分
    在线时间: 1374(小时)
    注册时间: 2008-06-12
    最后登录: 2025-10-03
    查看zhujingyu69的 主题 / 回贴
    2楼  发表于: 2024-08-21 17:27
    |
    "每计算一次,r等值递增一次,计算100次",搞清楚每次r值递增多少后,可以用for  next来完成啊
    本帖最近评分记录:
  • 下载积分: 5(lsw669007) 热心助人!
  • lsw669007
    级别: 略有小成
    精华主题: 0
    发帖数量: 134 个
    工控威望: 335 点
    下载积分: 663 分
    在线时间: 579(小时)
    注册时间: 2006-08-19
    最后登录: 2025-09-18
    /
    3楼  发表于: 2024-11-09 14:44
    |
    谢谢俩位热心回复,刚刚开始由于之前没有接触过st编程,幂运算不会,也没有好好的去看编程手册,现在问题已解决,谢谢楼上二位的热心回复
    qwerty_123
    www
    级别: 略有小成
    精华主题: 0
    发帖数量: 123 个
    工控威望: 245 点
    下载积分: 3359 分
    在线时间: 38(小时)
    注册时间: 2010-09-26
    最后登录: 2025-10-03
    查看qwerty_123的 主题 /
    4楼  发表于: 2024-11-14 11:11
    |
    后面的总不能计算到r的16次方吧?
    有没有计算次数少的方法?
    到16次方后的精度估计都不行了,例如r=3或者r=0.5时的16次方分别为43046721和0.0000152587890625,浮点数有效位数只有6、7位
    rongbing
    级别: 论坛先锋
    精华主题: 0
    发帖数量: 1160 个
    工控威望: 1397 点
    下载积分: 29460 分
    在线时间: 330(小时)
    注册时间: 2015-02-15
    最后登录: 2025-10-03
    查看rongbing的 主题 / 回贴
    5楼  发表于: 2024-11-16 16:43
    |
    搞个工控,没有点真本事,都拿不出手
    农民儿子
    级别: 略有小成
    精华主题: 0
    发帖数量: 215 个
    工控威望: 327 点
    下载积分: 5427 分
    在线时间: 240(小时)
    注册时间: 2016-10-26
    最后登录: 2025-10-03
    /
    6楼  发表于: 2024-11-16 18:45
    |
    西门子博途用scl编写就方便     

      网站地图