三菱凸轮计算 -凯发网址
凯发网址-凯发官网
用户登陆
免费注册
找回密码
站内短信
论坛搜索
用户名
密码
输入验证码:
电脑
综合讨论
资料互助
程序样例
三菱工控
西门子区
欧姆龙区
触摸屏区
凯发网址-凯发官网
三菱工控论坛
三菱凸轮计算
1
pages: 1/2 go
zmrs163
级别: 家园常客
精华主题:
0
发帖数量:
420 个
工控威望:
571 点
下载积分:
1588 分
在线时间: 345(小时)
注册时间:
2017-06-12
最后登录:
2025-09-01
查看zmrs163的
主题
/
回贴
楼主
发表于: 2020-05-19 16:34
|
分享下三菱凸轮计算公式。由于三菱的ms运动模块没有设置曲线类型自动生成的功能,因此分享几个公式,可以自己实现计算。
zmrs163
级别: 家园常客
精华主题:
0
发帖数量:
420 个
工控威望:
571 点
下载积分:
1588 分
在线时间: 345(小时)
注册时间:
2017-06-12
最后登录:
2025-09-01
查看zmrs163的
主题
/
回贴
1楼
发表于: 2020-05-19 16:36
|
注:公式中的int均为向下取整。一个分辨率为d的凸轮曲线我们实际设置的点为0-d-1,最后一个点d其实和第0个点是一样的
zhujingyu69
级别: 家园常客
精华主题:
0
发帖数量:
956 个
工控威望:
856 点
下载积分:
55583 分
在线时间: 1365(小时)
注册时间:
2008-06-12
最后登录:
2025-09-02
查看zhujingyu69的
主题
/
回贴
2楼
发表于: 2020-05-19 16:38
|
楼主,没有看到公式啊!
zmrs163
级别: 家园常客
精华主题:
0
发帖数量:
420 个
工控威望:
571 点
下载积分:
1588 分
在线时间: 345(小时)
注册时间:
2017-06-12
最后登录:
2025-09-01
查看zmrs163的
主题
/
回贴
3楼
发表于: 2020-05-19 16:43
|
假设曲线起点的行程量为y0,终点行程量为y1,曲线从t0开始,至t1结束。公式均为曲线中任意一点行程量y和点t的关系。另外对于某些曲线类型,还存在曲线适用范围p1,p2和加减速范围补偿t1,t2。这些在软件中可以进行微调。对于一些分段函数构成的曲线类型,就不再讨论p1,p2取值了。因为可能会有20多种情况过于繁琐,统一只考虑p1=0,p2=1的情况。现在按照软件中的顺序一一介绍。
zmrs163
级别: 家园常客
精华主题:
0
发帖数量:
420 个
工控威望:
571 点
下载积分:
1588 分
在线时间: 345(小时)
注册时间:
2017-06-12
最后登录:
2025-09-01
查看zmrs163的
主题
/
回贴
4楼
发表于: 2020-05-19 16:46
|
图片:
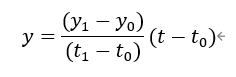
匀速比较简单
zmrs163
级别: 家园常客
精华主题:
0
发帖数量:
420 个
工控威望:
571 点
下载积分:
1588 分
在线时间: 345(小时)
注册时间:
2017-06-12
最后登录:
2025-09-01
查看zmrs163的
主题
/
回贴
5楼
发表于: 2020-05-19 16:50
|
图片:
匀加速。只考虑p1=0,p2=1的情况。其实如果修改这两个值会引起加速度的变化,但是在软件中加速度却一直是同一个值,这也算是软件的一个bug了吧
zmrs163
级别: 家园常客
精华主题:
0
发帖数量:
420 个
工控威望:
571 点
下载积分:
1588 分
在线时间: 345(小时)
注册时间:
2017-06-12
最后登录:
2025-09-01
查看zmrs163的
主题
/
回贴
6楼
发表于: 2020-05-19 16:59
|
图片:
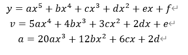
五次其实就对于三个公式,将起点终点的速度,加速度,还有位置带入求解6个系数,然后就能求出曲线方程。由于三菱plc没有矩阵,解方程之类的库,所以只考虑一种特殊情况下的解,就是起点结束点速度,加速度均为0的情况
zmrs163
级别: 家园常客
精华主题:
0
发帖数量:
420 个
工控威望:
571 点
下载积分:
1588 分
在线时间: 345(小时)
注册时间:
2017-06-12
最后登录:
2025-09-01
查看zmrs163的
主题
/
回贴
7楼
发表于: 2020-05-19 17:02
|
图片:
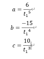
特殊情况下的解,另外3个系数均为0
zmrs163
级别: 家园常客
精华主题:
0
发帖数量:
420 个
工控威望:
571 点
下载积分:
1588 分
在线时间: 345(小时)
注册时间:
2017-06-12
最后登录:
2025-09-01
查看zmrs163的
主题
/
回贴
8楼
发表于: 2020-05-19 17:05
|
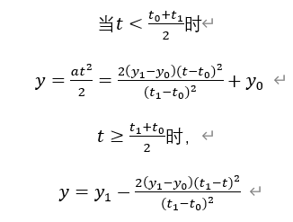
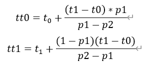
图片:
另外这个曲线不分段,可以讨论下p1,p2.其实就相当于带入方程的点不是0,t1了,因为只是曲线中间的一段.设带入方程的变成了tt0,tt1。那么和t0,t1的关系由下面这个公式算出。补充下,带入方程的点应该是以下6个。
(t0,y0)(t1,y1)(tt0,a0)(tt1,a1)(tt0,v0)(tt1,v1)。a0,a1,v0,v1分别代表速度加速度。tto,tt1在p1=0,p2=1的情况下就等于是t0,t1
[ 此帖被zmrs163在2020-05-20 16:24重新编辑 ]
zmrs163
级别: 家园常客
精华主题:
0
发帖数量:
420 个
工控威望:
571 点
下载积分:
1588 分
在线时间: 345(小时)
注册时间:
2017-06-12
最后登录:
2025-09-01
查看zmrs163的
主题
/
回贴
9楼
发表于: 2020-05-19 17:09
|
还有明天再更吧,有几个公式特别繁琐,我只写了脚本验证基本上和软件生成的曲线全部一致。目前只发现一种情况可能产生偏差,就是如果原来存在曲线正中间的点并且曲线对称,那么理论上会跑一半的行程量,但由于计算偏差我脚本算出来会少1,影响不大。
km2003
级别: 略有小成
精华主题:
0
发帖数量:
58 个
工控威望:
471 点
下载积分:
15573 分
在线时间: 862(小时)
注册时间:
2010-03-12
最后登录:
2025-08-31
/
10楼
发表于: 2020-05-19 21:06
|
非常有用,感谢!
zmrs163
级别: 家园常客
精华主题:
0
发帖数量:
420 个
工控威望:
571 点
下载积分:
1588 分
在线时间: 345(小时)
注册时间:
2017-06-12
最后登录:
2025-09-01
查看zmrs163的
主题
/
回贴
11楼
发表于: 2020-05-21 16:02
|
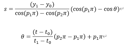
图片:
单弦,加速度曲线为余弦。不分段因此很好计算
1
pages: 1/2 go
凯发网址-凯发官网
三菱工控论坛
三菱凸轮计算
http://www.ymmfa.com
访问内容超出本站范围,不能确定是否安全
网站地图